Über die spontane
Emission von Photonen About the spontaneous emission of
photons
Spontaneous photon emission
revisited Spontaneous photon emission
revisited
Dieser Artikel
soll die seit 1930 gängige Praxis, den Elementarprozess der Emission eines
Photons in atomaren Übergängen phänomenologisch mit dem radioaktiven Zerfall
(von Kernen) gleichzusetzen, etwas näher beleuchten. This article is
intended to shed light on the common practice of equating the elementary
process of photon emission in atomic transitions with radioactive decay (of
nuclei) since 1930. Die
Standardbehandlung dieses Themas geht zurück auf Weisskopf und Wigner:
The standard treatment of this topic goes back to Weisskopf and Wigner:
V. Weisskopf und E. Wigner,
ZS. V. Weisskopf and E. Wigner, ZS. f. f. Phys. Phys. 63, 54, 1930, "Berechnung der
natürlichen Linienbreite auf Grund der Diracschen Lichttheorie".
63, 54, 1930,
"Calculation of the natural line width on the basis of Dirac's theory of
light".
Für die emittierte Strahlung verwendet
man in diesem "Standardmodell" die Analogie zum gedämpften harmonischen
Oszillator, siehe For the emitted radiation one uses in this "standard model" the analogy
to the damped harmonic oscillator, see
S. Kikuchi, Zeitschrift
für Physik, July 1930, Volume 66, Issue 7–8, pp 558–571, "Über die
Fortpflanzung von Lichtwellen in der Heisenberg-Paulischen Formulierung der
Quantenelektrodynamik", S. Kikuchi, Journal of Physics, July 1930, Volume 66, Issue 7-8, pp
558-571, "On the Propagation of Light Waves in the Heisenberg-Paulian
Formulation of Quantum Electrodynamics",
die ja gut zum "exponentiellen Zerfall"
passt. which
fits well with the "exponential decay". Zitat Kikuchi S. 569: Quote Kikuchi p. 569:
Demnach hat man sich ein Photon etwa so vorzustellen (Amplitude der Feldstärke): Accordingly, one has to imagine a photon like this (amplitude of the field strength):
![]() |
![]() Aber
auch wenn man sich um Kausalitätsprobleme nicht kümmert, bleibt ein
Denkfehler: der "exponentielle Zerfall" des angeregten Zustands wird auf
die "Amplitude des Photons" übertragen. But even if
one does not care about problems of causality, there remains a mistake in
thinking: the "exponential decay" of the excited state is transferred to
the "amplitude of the photon". Dieser Denkfehler wird seit
1930 nahtlos übernommen, zB MO Scully, MS Zubairy "Quantum Optics"
S. 208-9: This mistake has been seamlessly
adopted since 1930 , eg MO Scully, MS Zubairy
"Quantum Optics" p. 208-9: Das klappt aber nur, wenn vor der Zeit 0 der angeregte Zustand nicht besetzt war: " Abschneide-Physik "! But this works only if before the time 0, the excited state was not occupied: " cut-physics "! Eine Liste von Zitaten der in sich widersprüchlichen oder zirkulären Argumentationen zu diesem Thema wäre relativ lang... :) A list of quotes from self-contradictory or circular arguments on this topic would be relatively long ... :)
|
| Das Atom sendet also wie ein Funkeninduktor? So the atom sends like a spark inductor? Nein - mit diesem Modell kann etwas nicht stimmen! No - something can not be right with this model! Selbst bei einem klassischen Funkeninduktor kann die Feldstärke nicht von 0 auf einen endlichen Wert springen (die klassische Elektrodynamik ist kausal), und auch die QED kann solche Singularitäten nur durch "Renormierungen" beheben. Even with a classical spark inductor, the field strength can not jump from 0 to a finite value (classical electrodynamics is causal), and even QED can correct such singularities only by "renormalizations". |
Die Vorstellung eines Photons, dessen Feldstärke (Amplitude) "zur Zeit 0" schlagartig von 0 auf den maximalen Wert springt, ist also etwas problematisch, ganz abgesehen davon, dass man keine Wellenfunktion für ein Photon angeben kann (sondern nur "a kind of wave function for a photon" :). The idea of a photon whose field strength (amplitude) abruptly jumps from 0 to the maximum value "at time 0" is thus somewhat problematic, quite apart from the fact that one can not specify a wave function for a photon (but only "a kind of wave function for a photon ":). Aber auch wenn man die spontane Emission eines Photons einfach als einen völlig unbestimmten "Emissionsakt" in das Reich der Unbeobachtbarkeit schiebt, bleiben einige Probleme im "Standardmodell der spontanen Emission": But even if you push the spontaneous emission of a photon simply as a completely indefinite "emission act" in the realm of unobservability, some problems remain in the "standard model of spontaneous emission":
Weisskopf-Wigner-Näherung (WeWi): Weisskopf-Wigner approximation (WeWi):
Abgesehen von Näherungen, die gemacht werden, um die "Bewegungsgleichungen" (Mastergleichungen), die aus der SGL für die W-Amplituden der Zustände folgen, lösen zu können, wird die Lösung nicht wirklich berechnet, sondern vorausgesetzt: "Das Atom folgt bei der Emission von Photonen dem radioaktiven Zerfallsgesetz". Apart from approximations made to solve the "equations of motion" (master equations) that follow from the SGL for the W amplitudes of the states, the solution is not really calculated, but provided that "the atom follows in the Emission of photons according to the radioactive decay law ".
Dabei geht es in WeWi nicht nur um einen (einzigen) Übergang von A nach B, sondern insbes. auch um Zerfalls reihen (WeWi S. 69): WeWi is concerned not only with a (single) transition from A to B, but also with decays (WeWi p. 69):
Die Gleichungen für den radioaktiven Zerfall werden also 1:1 auf die Zustände eines Atoms übertragen, das durch die spontane Emission von Photonen von a nach b nach c ... übergeht. The equations for radioactive decay are thus transferred 1: 1 to the states of an atom, which transitions from a to b to c ... by the spontaneous emission of photons.
Hier ist ein Beispiel mit 4 radioaktiven Elementen (drei
Übergängen): Here is an example with 4 radioactive
elements (three transitions): ![]() |
Und hier ein Beispiel mit zwei Übergängen (drei Kurven unten) bzw. zwei Photonen (zwei Kurven oben): And here's an example with two transitions (three curves below) and two photons (two curves above): ![]() |
| Instabile Tochterelemente erreichen nie die volle "Besetzungszahl". Unstable daughter elements never reach the full "occupation number". Erst durch Hinzufügen des "Grundzustands" (hier nicht dargestellt) wird die Summe aller Kurven 1. Übertragen auf den "Zerfall eines Atoms" bedeutet das, dass sich das Elektron auf seinem Weg in den Grundzustand nie vollständig in einem der Zwischenzustände befindet. Only by adding the "ground state" (not shown here) is the sum of all curves 1. Transferring to the "decay of an atom" means that the electron is never completely in one of the intermediate states on its way to the ground state. Übrigens würde das bedeuten, dass ein Atom auf seinem Weg zum Grundzustand (der sicher eine endliche Zeit dauert) alle "erlaubten Frequenzen" mehr oder weniger gleichzeitig abstrahlt (siehe Photokaskade ). By the way, this would mean that an atom on its way to the ground state (which certainly takes a finite time) radiates all "allowed frequencies" more or less simultaneously (see photo cascade ). Das kann durchaus richtig sein, widerspricht aber der Annahme "zur Zeit t = 0 " (oder wann auch immer) "springt das Atom" oder findet der "Emissionsakt" statt. This may well be correct, but contradicts the assumption "at time t = 0 " (or whatever) "the atom jumps" or takes place the "emission act". | Hier ist nun die Besetzung des Grundzustands mit eingezeichnet (grün). Here is the occupation of the ground state with marked (green). Für die "Amplitude der Photonen" wurde als Einhüllende das Produkt der Besetzungszahlen (das zeitabhängige Dipolmoment, siehe ) genommen. For the "amplitude of the photons", the product of the occupation numbers (the time-dependent dipole moment, see ) was taken as an envelope. Die kleine Frequenz gehört zum ersten Übergang und die größere Frequenz zum zweiten. The small frequency belongs to the first transition and the higher frequency belongs to the second. Folgt man der Argumentation von WeWi und Kikuchi, so müsste die Emission beider Photonen schlagartig "zur Zeit 0" beginnen. If one follows the argument of WeWi and Kikuchi, then the emission of both photons would have to start abruptly "at time 0". Man liest aber bei WeWi (zB S.58): But one reads at WeWi (eg p.58): "...und die Wahrscheinlichkeit, dass ein Atom, das vor langer Zeit im Zustand A war, nacheinander drei Lichtquanten mit den Frequenzen ... emittiert" . "... and the probability that an atom that was in state A a long time ago will successively emit three light quanta with the frequencies ..." . |
Der WeWi-Ansatz impliziert auch, dass das Atom zur "Zeit t = 0 " mit maximaler Leistung zu strahlen beginnt, bzw. dass die Absorption mit maximaler Leistung zur "Zeit t = 0 " endet, also entweder ein Sprung oder ein Knick vorliegt. The WeWi approach also implies that the atom begins to radiate at maximum power at time t = 0 , or that absorption at maximum power ends at time t = 0 , that is, either a jump or a kink. Zur Rechtfertigung dieses Modells wird auf die Analogie zum gedämpften harmonischen Oszillator (mechanisch oder elektrisch) verwiesen, der zur Zeit t = 0 "eingeschaltet wird". To justify this model, reference is made to the analogy to the damped harmonic oscillator (mechanical or electrical) which is "turned on" at time t = 0 . Nun kann man aber Atome But you can now atoms
1. nicht zur Zeit t = 0 "ein- oder ausschalten", sondern höchstens bis zur Zeit t = 0 im angeregten Zustand halten, und dann die externe Quelle/Anregung abschalten, und 1. do not "turn on or off" at time t = 0 , but keep it excited at most until time t = 0 , and then turn off the external source / excitation, and
2. reagiert ein Atom nicht wie eine gespannte Feder, die beim Loslassen mit der Frequenz des "angeregten Zustands" schwingt, sondern die Strahlung entsteht durch Überlagerung zweier Zustände mit der Schwebungsfrequenz. 2. An atom does not react like a taut spring, which vibrates when released with the frequency of the "excited state", but the radiation is created by superposition of two states with the beat frequency. Wenn also das Atom zur Zeit t = 0 im stationären angeregten Zustand ist, kann es nicht strahlen. Thus, if the atom is in the stationary excited state at time t = 0 , it can not radiate. Vielmehr muss sich erst ein Dipolmoment (oder allgemeiner ein Multipolmoment) ausbilden, das erst dann maximal wird, wenn beide Zustände gleiches Gewicht haben. Rather, a dipole moment (or more generally a multipole moment) must first form, which only becomes maximum when both states have the same weight.
3. Sei noch angemerkt, dass die Übertragung des Modells "radioaktiver Zerfall" (gültig für ein Ensemble) auf das zeitliche Verhalten eines einzelnen Atoms bei der Emission oder Absorption eines Photons (also den Elementarprozess) rein phänomen ologisch und nicht zwingend logisch ist. 3. It should also be noted that the transmission of the model "radioactive decay" (valid for an ensemble) to the temporal behavior of a single atom during the emission or absorption of a photon (ie the elementary process) is purely phenomenological and not necessarily logical. Das "exponentielle Zerfallsgesetz" gilt immer, wenn alle Elementarprozesse die gleiche Wahrscheinlichkeit (Zerfallsrate) haben. The "exponential decay law" always applies if all elementary processes have the same probability (decay rate). Daraus kann man aber nicht schließen, dass die Elementarprozesse selbst "exponentiell abklingen", und die emittierte Strahlung ein Lorentz-Spektrum (= natürliche Linienform) aufweist: Aus einer Bilanz (oder aus Mittelwerten) lässt sich eine Dynamik des Elementarprozesses nicht zwingend ableiten. But one can not conclude that the elementary processes themselves "decay exponentially", and the emitted radiation has a Lorentz spectrum (= natural line shape): From a balance (or from averages) a dynamics of the elementary process can not necessarily be derived.
Neues Modell - logistisches Modell New model - logistic model
Anstatt phänomenologisch von einem exponentiellen Zerfall des Atoms auszugehen, und diesen auf das Photon zu übertragen, wird die Dynamik der Dipolschwingung in den Vordergrund gestellt. Instead of phenomenologically starting from an exponential decay of the atom and transferring it to the photon, the dynamics of the dipole oscillation are emphasized. Dies führt auf die (nichtlinearen) Differentialgleichungen für logistisches Wachstum (su Theorie), die für mehr als einen Übergang leider nur numerisch lösbar sind. This leads to the (nonlinear) differential equations for logistic growth (see below theory), which are unfortunately only numerically solvable for more than one transition.
|
|
Über den Kurven für die Besetzungszahlen sind wieder "die Amplituden der Photonen" dargestellt. The curves for the occupation numbers again show "the amplitudes of the photons". Im Gegensatz zum "Standardmodell des exponentiellen Zerfalls" haben die Zustände des Atoms (A (rot), B (blau) und C (grün)) nun auch eine Vergangenheit (t < 0) und dementsprechend erscheinen die Photonen als Wellenpakete ohne "scharfe Kante". In contrast to the "standard model of exponential decay", the states of the atom (A (red), B (blue) and C (green)) now have a past (t <0) and accordingly the photons appear as wave packets without a "sharp edge ".
Ein wichtiges Merkmal des "logistischen Modells" sind die Anfangswerte: In der linken Abbildung ist C(0)=10 -10 und in der rechten Abbildung C(0)=10 -3 (zusätzlich wurden in der rechten Abbildung die "Zerfallsraten" verringert). An important feature of the "logistic model" are the initial values: in the left figure C (0) = 10 -10 and in the right figure C (0) = 10 -3 (in addition, the "decay rates" were reduced in the right figure) ). Dh, im logistischen Modell gibt es keine stationären Zustände. That is, in the logistic model, there are no stationary states. Auch für C(0)=10 -1000 würde ein Übergang "irgendwann" (das lässt sich auch berechnen :) stattfinden, quasi spontan und ohne Unterstützung durch das Vakuum. Also for C (0) = 10 -1000 a transition "sometime" (which can also be calculated :) would take place, almost spontaneously and without the support of the vacuum. Aber weil das System sehr empfindlich auf Störungen reagiert, kann selbst das Vakuum einen Übergang auslösen - und erst recht die allgegenwärtige Hintergrundstrahlung bei Temperaturen über dem absoluten Nullpunkt (wobei dann beide "Triggermechanismen" für die Impulserhaltung sorgen). But because the system is very sensitive to disturbances, even the vacuum can trigger a transition - let alone the ubiquitous background radiation at temperatures above absolute zero (in which case both "triggering mechanisms" provide momentum conservation).
Ein zweites Merkmal des logistischen Modells ist die "Trennung der Emissionsakte" (wie von WeWi stillschweigend angenommen, aber nicht erfüllt). A second feature of the logistic model is the "separation of the emissions record" (as tacitly assumed by WeWi, but not met). Wenn der Grundzustand C "zur Zeit 0" nicht besetzt ist, und der Übergang von A nach B "schnell genug" erfolgt (linke Abbildung), werden die Photonen nacheinander emittiert. If the ground state C is not occupied "at time 0" and the transition from A to B is "fast enough" (left figure), the photons are emitted one after the other. Andererseits bewirkt eine "zu frühe Bevölkerung von C" (oder ein "zu langsamer" Übergang von A nach B) eine zeitliche Überlappung der Photonen, bzw. eine "Niveau-Unschärfe" (Linienverbreiterung) des ersten Übergangs - ganz im Sinne von WeWi. On the other hand, a "too early population of C" (or a "too slow" transition from A to B) causes a temporal overlap of the photons, or a "level blurring" (line broadening) of the first transition - quite in the sense of WeWi.
Das logistische Modell erklärt also den Quantensprung? So the logistic model explains the quantum leap? Spaß beiseite, hier kommt noch etwas Theorie... Joking aside, here comes some theory ...
Ausgangspunkt ist wie in Emission eines Photons wieder der Zustand The starting point, as in the emission of a photon, is again the state

Wie oben
erwähnt, geht das hier vorgeschlagene logistische Modell der spontanen
Emission davon aus, dass die von einem Atom abgestrahlte Leistung proportional zum Quadrat des
Dipolmoments ist, dessen Zeitabhängigkeit durch As mentioned
above, the logistic model of spontaneous emission proposed here assumes
that the power
radiated by an atom is proportional to the square of the dipole moment, its time
dependence
gegeben ist (in diesem
Zusammenhang können die c als reell betrachtet werden).
given (in this
context, the c can be considered real).
Der Sachverhalt lässt sich kompakter formulieren, wenn
man von den W-Amplituden c zu ihren Quadraten übergeht, bzw. zur
Dichtematrix ρ ("optische Blochgleichungen"). The situation can be formulated in a
more compact way if one goes from the W-amplitudes c to their squares,
or to the density matrix ρ ("optical Bloch equations"). Für zwei Zustände (einen Übergang)
lassen sich die Differentialgleichungen (Mastergleichungen) exakt
lösen. For
two states (one transition) the differential equations (master equations) can be
solved exactly.
|
Die Änderung des
Grundzustands The change of the ground state Stellt man diesen physikalischen Sachverhalt in den Vordergrund und gibt nicht ein "exponentielles Abklingen" als Lösung vor, so erhält man mit der Proportionalitätskonstanten k die Differentialgleichung: If one puts this physical situation in the foreground and does not provide an "exponential decay" as a solution, one obtains with the proportionality constant k the differential equation:
auch bekannt als
die logistische Differentialgleichung . also known as the
logistic differential equation . Sie hat die "standartisierte" Lösung
( It
has the "standardized" solution (
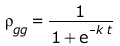
auch bekannt als logistische Funktion , oder kumulative logistische Verteilung (bzw. Fermi-Dirac-Verteilung - an der Hochachse gespiegelt). also known as logistic function , or cumulative logistic distribution (or Fermi-Dirac distribution - mirrored at the vertical axis). Mit der Ableitung (= vom Dipol abgestrahlte Leistung): With the derivative (= power radiated by the dipole):
|
Grundzustand ρ gg (rot) und Ableitung von ρ gg nach der Zeit (grün): Basic state ρ gg (red) and derivative of ρ gg after time (green):
|
|
Das Frequenzspektrum erhält man durch Fouriertransformation. The frequency spectrum is obtained by Fourier transformation. Die Amplitude der E-Feldstärke ist proportional zur Wurzel der Energie (od. Leistung): The amplitude of the E field strength is proportional to the root of the energy (or power):
Auch bekannt als hyperbolic secant distribution . Also known as hyperbolic secant distribution . Weil das Frequenzspektrum ohnehin auf 1 (Fläche) normiert werden muss, wird hier k vernachlässigt und nur die elektrische Feldstärke betrachtet. Since the frequency spectrum has to be normalized to 1 (area) anyway, k is neglected here and only the electric field strength is considered. Die Fouriertransformierte von E(t) ist dann The Fourier transform of E (t) is then
und ihr auf 1 normiertes Quadrat, also das Intensitätsspektrum für ein Photon mit der Energie 1 (= ℏω) and its normalized square, ie the intensity spectrum for a photon with the energy 1 (= ℏω)
|
Vergleich von Lorentz- (rot), Logistik- (blau) und Gaußlinie (grün) mit gleicher fwhm (alle Verteilungen auf 1 normiert). Comparison of Lorentz (red), logistics (blue) and Gaussian lines (green) with the same fwhm (all distributions normalized to 1).
|
| Bei diesem Vergleich (obige Abbildung) kommt es zunächst auf die Form der Linien an: Die Lotentzlinie hat immer die weitesten "Flügel", weil das (künstliche) Abschneiden des zeitlichen Verlaufs der Emission einen hohen Anteil beliebig hoher Frequenzen bedingt. In this comparison (figure above), the shape of the lines is important: the lotent line always has the widest "wings", because the (artificial) clipping of the temporal course of the emission causes a high proportion of arbitrarily high frequencies. Interessant ist auch, dass sich die Gaußlinie nur wenig von der Logistiklinie unterscheidet, und beide Linientypen "ihre eigenen Transformierten" sind (Gauß - Gauß und sech - sech). It is also interesting that the Gaussian line differs only slightly from the logistics line, and that both lineages are "their own transformers" (Gauss - Gauss and sech - sech). |
| Es ist übrigens gar nicht so einfach, aus Messdaten die Linienform zu bestimmen. Incidentally, it is not easy to determine the line shape from measured data. In der Abbildung unten wurden aus einer Lorentzverteilung mit Maximalwert 1 "Messpunkte" erzeugt, indem zur Ordinate der Verteilung Zufallszahlen zwischen -0.5 und +0.5 addiert wurden. In the figure below, from a Lorentz distribution with a maximum value of 1, "measurement points" were generated by adding random numbers between -0.05 and +0.05 to the ordinate of the distribution. Die drei Kurven zeigen Kurvenfits für die Modelle Lorentz (blau), Gauß (rot) und Logistik (schwarz). The three curves show curve fits for the models Lorentz (blue), Gauss (red) and logistics (black). | Eine Möglichkeit, die Abschneidephysik zu reparieren, wäre eine "Zerfallskurve", die durch die Spiegelung des abgeschnittenen exponentiellen Zerfalls am Punkt (0 | 0.5) ergänzt wird. One way to repair the cut-off physics would be a "decay curve", which is supplemented by the reflection of the truncated exponential decay at the point (0 | 0.5). Bei passender Wahl der Parameter unterscheidet sich dann die zugehörige Kurve für ρ gg (schwarz) nur minimal von der logistischen Funktion (rot). If the parameters are chosen correctly, the associated curve for ρ gg (black) differs only minimally from the logistic function (red). Das Gleiche gilt für die Produkte ρ gg (1 - ρ gg ), die ebenfalls unten schwarz und rot dargestellt sind ("Glockenkurven"). The same applies to the products ρ gg (1 - ρ gg ), which are also shown below black and red ("bell curves"). Allerdings hat dann die Ableitung der zusammengesetzten Funktion (schwarz) einen Knick (blau), bzw. "die Amplitude des Photons" hat in der Mitte eine Spitze (einen Quantenknick :), während die Ableitung der logistischen Funktion dem Produkt ρ gg (1 - ρ gg ) proportional ist. However, then the derivative of the compound function (black) has a kink (blue), or "the amplitude of the photon" has a peak in the middle (a quantum kink :), while the derivative of the logistic function the product ρ gg (1 - ρ gg ) is proportional. Das ist aber immer noch besser, als ein "Sägezahnphoton", das "zur Zeit 0" beginnt... But that's still better than a "sawtooth photon" that starts "at the moment 0" ... |
![]() |
![]() |
| Und wie sieht nun das Photon aus? And what does the photon look like? | |
| Nebenstehend noch eine Animation
zur Verdeutlichung des Unterschieds zwischen einem " Kikuchi-Photon" (navy,
sprunghafter Beginn bei t = 0 mit exponentiellem Abklingen) und einem
"logistischen Photon" (purple, secans hyperbolicus). An
animation to clarify the difference between a " Kikuchi photon" (navy, sudden
start at t = 0 with exponential decay) and a "logistic photon" (purple,
secans hyperbolicus). Dargestellt sind
die Einhüllenden der (momentanen) Energie, jeweils normiert auf die Fläche
1 und mit der "Zerfallskonstanten" als Parameter. Shown are the
envelopes of the (momentary) energy, each normalized to the area 1 and
with the "decay constant" as a parameter. Heisenberg war ja Zeit seines Lebens davon
überzeugt, dass die Diskontinuität ein "Wesensmerkmal der Quantenmechanik"
sei. Heisenberg was convinced throughout his life that the
discontinuity was an "essential feature of quantum
mechanics". Sein Schüler
Kikuchi hat diese Überzeugung zumindest zu einer Hälfte übernommen: "Die
Emission eines Photons setzt schlagartig ein" (natürlich zur Zeit t = 0!),
aber danach (für t > 0) sind wir wieder in der klassischen Physik, und
alles verläuft kontinuierlich - alles bis ins Detail durchgerechnet mit
den Maxwellgleichungen! His student Kikuchi has adopted this conviction to
at least one half: "The emission of a photon starts abruptly" (of course
at the time t = 0!), But afterwards (for t> 0) we are back in classical
physics, and everything works continuous - everything calculated down to
the last detail with the Maxwell equations! Aber zum Glück gibt es ja die Heisenbergsche Unschärferelation und die Fouriertransformation! But fortunately there is the Heisenberg uncertainty principle and the Fourier transformation! Die zugehörigen Linienprofile sind bei t = 10 (t in diesem Fall als Frequenz) zu sehen. The associated line profiles can be seen at t = 10 (t in this case as frequency). Lorentzprofil breit (hellblau), "logistisches Profil" schmal (hellgrün). Lorentz profile wide (light blue), "logistical profile" narrow (light green). Die Darstellung wurde nach oben abgeschnitten - wegen der Unschärferelation Δ f Δ t = const :-). The representation was cut off upwards - because of the uncertainty relation Δ f Δ t = const :-). (Zur Orientierung: die Maxima der Kurven liegen oberhalb von 3.) (For orientation: the maxima of the curves are above 3.) |
![]() |
Die nächsten beiden Animationen zeigen das "Kikuchi-Photon" (blau) und das "logistische Photon" (rot). The next two animations show the "Kikuchi Photon" (blue) and the "Logistic Photon" (red). Links die Amplitude und rechts die Energie (Quadrat der Amplitude, gesamte Energie jeweils auf 1 norniert). Left the amplitude and right the energy (square of the amplitude, total energy in each case to 1). | |
![]() |
![]() |
Man könnte also "Kikuchi-Photonen" auch als "halbe Photonen" bezeichnen, aber die gibt es ja bekanntlich nicht :-). So you could call "Kikuchi photons" as "half photons", but half photons don't exist :-).
Und wenn nun beim "Zerfall eines Atoms" mehr als ein Photon emittiert wird? And if more than one photon is emitted in the "decay of an atom"? Dann sagt die WeWi-Theorie voraus, dass dies wie beim radioaktiven Zerfall geschieht, also simultan auf allen möglichen Frequenzen/Übergängen, im Widerspruch zu der von WeWi selbst gemachten Annahme, dass die Übergänge (= Quantensprünge) nacheinander stattfinden (siehe auch die bedingten Wahrscheinlichkeiten der Monte-Carlo-Quantenspringer :-). Then the WeWi theory predicts that this happens as in the case of radioactive decay, ie simultaneously on all possible frequencies / transitions, in contradiction to the assumption made by WeWi itself, that the transitions (= quantum leaps) take place successively (see also the conditional probabilities the Monte Carlo quantum jumper :-). Was sagt das "logistische Modell" dazu? What does the "logistic model" say?
| Kaskaden im logistischen
Modell Cascades in the logistic
model Der zeitliche Verlauf einer Kaskade von n = 4 nach 3, 2, 1 könnte zB so aussehen (Abbildung rechts). The time course of a cascade from n = 4 to 3, 2, 1 could look like this, for example (right figure). Die rote Kurve zeigt die Niveaus im Abstand der Hauptquantenzahlen (~1/n 2 ), die blaue Kurve die Abstrahlung, modelliert als zeitliche Änderung der Energie des Atoms. The red curve shows the levels in the distance of the main quantum numbers (~ 1 / n 2 ), the blue curve the radiation, modeled as temporal change of the energy of the atom. Im Gegensatz zum "Standardmodell" (WeWi) muss sich im logistischen Modell das Atom bei der sukzessiven Emission von Photonen nicht an eine "radioaktive Zerfallsreihe" halten, die einerseits durch Differentialgleichungen beschrieben wird, und andererseits "zufällige Emissionsakte" (Quantensprünge) zu beliebiger Zeit erfordert, was ja schon in sich widersprüchlich ist: In contrast to the "standard model" (WeWi), in the logistic model the atom does not have to adhere to a "radioactive decay series" which is described on the one hand by differential equations and on the other hand to "random emission acts" (quantum leaps) at any time requires what is already contradictory in itself: Im logistischen Modell laufen die Übergänge kontinuierlich ab, wobei die Geschwindigkeit des Übergangs (= Steigung der roten Kurve an den Übergängen) wie oben berechnet wurde. In the logistic model, the transitions are continuous, with the speed of the transition (= slope of the red curve at the transitions) calculated as above . Wann ein Übergang stattfindet, bzw. in welchem zeitlichen Abstand die Übergänge erfolgen, hängt im logistischen Modell von den "Anfangsbedingungen" ab: Die "horizontalen Kurvenstücke" der roten Kurve sind nicht exakt horizontal, sondern haben (in nebenstehender Darstellung) eine Steigung von der Größenordnung 10 -10 . When a transition takes place, or in which time interval the transitions take place, in the logistic model depends on the "initial conditions": The "horizontal curve pieces" of the red curve are not exactly horizontal, but have (in the opposite representation) a slope of the Order of magnitude 10 -10 . Schmetterlingseffekt! Butterfly Effect! (Und wem dieser Zufall nicht objektiv genug ist, kann gerne noch das QED-Vakuum als Auslöser und zur Impulserhaltung einbeziehen :-). (And if this coincidence is not objective enough, you are welcome to include the QED vacuum as a trigger and to preserve momentum :-). |
|
Zum Schluss noch die Visualisierung der atomaren Wellenfunktionen zweier Kaskadenübergänge im Vergleich. Finally, the visualization of the atomic wave functions of two cascade transitions in comparison. Links das logistische Modell, rechts das Standardmodell der Photonenkaskade . On the left the logistic model, on the right the standard model of the photon cascade .
n
= 4 -> 3-> 2, maximales l, m = 0 n = 4 -> 3-> 2,
maximum l, m = 0 ![]() |
n
= 4 -> 3-> 2, maximales l, m = 0 n = 4 -> 3-> 2,
maximum l, m = 0 ![]() |
n
= 7 -> 6 -> 5, maximales m und l n = 7 -> 6 -> 5,
maximum m and l ![]() |
n
= 7 -> 6 -> 5, maximales m und l n = 7 -> 6 -> 5,
maximum m and l ![]() |
| In beiden Fällen sieht man auch in der Darstellung der Wellenfunktionen deutlich, dass der Zwischenzustand (n = 3, bzw. n = 6) im Standardmodell nur andeutungsweise vorkommt. In both cases, the representation of the wave functions clearly shows that the intermediate state (n = 3, or n = 6) occurs only in the standard model. |
Zusammenfassung und Ausblick Summary and Outlook
Wenn
man die Näherung von Weisskopf und Wigner genauer betrachtet, stellt man fest,
dass es gar nicht nötig gewesen wäre, ein exponentielles Abklingen des
angeregten Zustands vorauszusetzen . If one looks more closely
at the Weisskopf and Wigner approximation, one finds that it would not have been
necessary to assume an exponential decay of the excited state. Vielmehr
ergibt sich das exponentielle Abklingen aus den dort gemachten Näherungen und
der Linearität der Schrödingergleichung, bzw. der Linearität der aus der SGL
folgenden Mastergleichungen. Rather, the exponential decay results from
the approximations made there and the linearity of the Schrödinger equation or
the linearity of the master equations following from the SGL.
Es bleibt
allerdings erstaunlich, dass der Elementarprozess , bzw. die
Dynamik der spontanen Emission eines Photons seither kaum hinterfragt
wurde, abgesehen von wenigen Ausnahmen wie zB PW Milonni (su). However,
it remains astonishing that the elementary process , or the
dynamics of the spontaneous emission of a photon, has hardly been
questioned since then, with a few exceptions such as PW Milonni (see
below). Man gibt sich
eben gerne mit der ersten Näherung (Linearität) zufrieden, so lange dieses
Standardschema (Lorentzlinie) passt, und Messungen kein Indiz für die
Notwendigkeit einer Korrektur des Standardmodells liefern. One is content
to be satisfied with the first approximation (linearity) as long as this
standard scheme (Lorentz line) fits, and measurements provide no indication of
the need to correct the standard model. Aber welche Messungen und welche
Auswertungen? But which measurements and which evaluations? Wenn von
vornherein "klar ist", dass die "natürliche Linienbreite" und insbes. Linien
form durch das "exponentielle Zerfallsgesetz" gegeben sind, macht man
keine Experimente, die das widerlegen könnten, und alle Kurvenfits werden so
eingerichtet, dass die Kurven zum Standardmodell - der Lorentzlinie -
passen. If it is "clear" from the outset that the "natural line width"
and especially the line shape are given by the "exponential decay law",
you do not do any experiments that could refute that, and all the curve fits are
set up so that the curves become the standard model - the Lorentz line -
fit. Darüber hinaus
kann die "natürliche Linienbreite" experimentell nur in den seltensten Fällen
gemessen werden (wenn überhaupt!), weil die Messungen durch Stoßverbreiterung
(Lorentzspektrum) und Dopplerverbreiterung (Gaußspektrum) überlagert werden, die
die Charakteristika des Elementarprozesses um mehrere Größenordnungen
übersteigen. In addition, the "natural linewidth" can rarely be measured
experimentally (if at all!), Because the measurements are superimposed by impact
broadening (Lorentz spectrum) and Doppler broadening (Gaussian spectrum), which
exceed the characteristics of the elementary process by several orders of
magnitude. Man
kümmert sich deshalb in der Praxis eher darum, die Messergebnisse zu entfalten
(Voigt-Profile), und weniger um den Elementarprozess an sich, dessen
Linienbreite oft als nicht messbar angesehen wird. In practice,
therefore, it is more a question of unfolding the measurement results (Voigt
profiles), and less of the elementary process itself, whose line width is often
regarded as immeasurable. Dann
fällt es natürlich nicht auf, wenn der Elementarprozess eine kleinere
Linienbreite und insbesondere eine schmalere Linien form hat als die
standardmäßig vorausgesetzte Lorentzlinie. Then, of course, it does not
stand out if the elementary process has a smaller line width and in particular a
narrower line shape than the standard assumed Lorentz line.
Das
hier vorgestellte "logistische Modell der spontanen Emission" fiel also über
lange Zeit durch das Raster, weil The presented here "logistic model of
spontaneous emission" so fell over a long time through the grid, because
a)
der Elementarprozess der spontanen Emission mit dem Verhalten eines Ensembles,
das der linearen SGL "gehorcht", gleichgesetzt wurde, und a) the
elementary process of spontaneous emission has been equated with the behavior of
an ensemble "obeyed" by the linear SGL, and
b) Linienbreite und -form des
Elementarprozesses unterhalb der "nicht messbaren" Werte liegen, wenn der
Elementarprozess nicht linear ist. b) The line width and shape of the
elementary process are below the "immeasurable" values if the elementary
process is not linear.
Was nun? What now? Es fehlt ein experimentum crucis! It lacks an experimentum crucis! Man könnte zB untersuchen: For example, you could investigate:
1.
Superradianz: Wenn Licht im Medium Solitonen bilden kann, die og
Gleichungen folgen, dann sollte es auch möglich sein, das Medium so weit zu
verdünnen, dass man den Elementarprozess sieht? 1. Superradiance: If
light in the medium can form solitons that follow the equations
above, then should it be possible to dilute the medium enough to see the
elemental process?
2.
Rydbergatome: Man hat inzwischen gelernt, Atome so zu manipulieren, dass sie
sich quasi klassisch verhalten. 2. Rydberg atoms: In the meantime,
scientists have learned how to manipulate atoms in such a way that they behave
in a classical way. Dann
müsste man doch auch herausfinden können, ob in einer atomaren Kaskade die
Photonen "gleichzeitig" oder nacheinander emittiert werden? Then one
would also have to find out whether the photons are emitted "simultaneously" or
one after the other in an atomic cascade?
Literatur: Literature:
-
V. Weisskopf und E. Wigner, ZS. V. Weisskopf and E. Wigner, ZS.
f.
f. Phys.
Phys. 63, 54,
1930 63, 54, 1930
Berechnung
der natürlichen Linienbreite auf Grund der Diracschen Lichttheorie.
Calculation of the natural line width on the basis of Dirac's theory of
light.
-
S. Kikuchi, Zeitschrift für Physik, July 1930, Volume 66, Issue 7–8, pp
558–571 - S. Kikuchi, Journal of Physics, July 1930, Volume 66, Issue
7-8, pp 558-571
Über
die Fortpflanzung von Lichtwellen in der Heisenberg-Paulischen Formulierung der
Quantenelektrodynamik. On the propagation of light waves in the
Heisenberg-Paulian formulation of quantum electrodynamics.
- PW Milonni,
Am. - PW Milonni, Am. J.
Phys., Vol. 52, No. J. Phys., Vol. 52, no. 4, April 1984 4, April
1984
Why
spontaneous emission? Why spontaneous emission?
© July 2017, Dr. Michael Komma (VGWORT)
Michael Komma (VGWORT) ![]()
Siehe auch: See also:
Emission eines Photons | Emission of a photon | Galerie | Gallery | Kaskade | Cascade | Weisskopf-Wigner Weisskopf-Wigner
What is a photon? What is a photon?
Der Quantensprung The quantum leap
Quantensprung in Zeitlupe Quantum leap in slow motion
"Are there quantum jumps?" "Are there quantum jumps?"
Historisches zum Quantensprung Historical to the quantum leap
Weitere Quantensprünge Further quantum leaps
H-Orbitals aus ' Moderne Physik mit Maple ' H orbitals from ' Modern physics with Maple '
Plancks Formel Planck's formula
komma_AT_oe.uni-tuebingen.de komma_AT_oe.uni-tuebingen.de
HOME | HOME | Fächer | Compartments | Physik | Physics | Elektrizität | Electricity | Optik | Optics | Atomphysik | Atomic physics | Quantenphysik | Quantum physics | Top Top